Hypothese Seite 2


Home Kurzfassung Hypothese Seite 1 Hypothese Seite 2 Zusammenfassung Urknall kontrovers Stützen des Urknalls Supraleitung weitere Beweise Änderungen E-Book download Diskussionen

 

Da die Artikel aufeinander aufbauen, ist es sinnvoll, die Seiten in der oben angegebenen Reihenfolge durchzulesen (von links nach rechts; mit Home oder Kurzfassung beginnend).

Unter download erhalten Sie den kompletten Text als druckfähiges e-Book.

Haben Sie Fragen oder Hinweise, dann schicken Sie eine E-Mail

 

8. Thesen zur Lichtgeschwindigkeit

8.1.     Nachfolgend soll geklärt werden, weshalb man innerhalb eines Systems in alle Richtungen und unter allen Umständen eine konstante Vakuum-Lichtgeschwindigkeit misst. Beispielsweise ist die Lichtgeschwindigkeit auf der Erde in alle Richtungen gleich, obwohl sich diese mit hoher Geschwindigkeit durch das Weltall bewegt. Dies hatte bereits Michelson 1881/87 in Zusammenarbeit mit Morley mit seinem Interferometer experimentell nachgewiesen.

8.2.     Einstein hat auf Grund der Experimente von Michelson und Morley die Lichtgeschwindigkeit innerhalb eines Systems per Postulat als konstant angesetzt. Dies heißt, dass die Konstanz der Vakuum-Lichtgeschwindigkeit in einem System eine Festlegung von Einstein ist. Er hätte genau so gut auch die Länge oder die Zeit innerhalb eines Systems als konstant festlegen können. An den Ergebnissen der Relativitätstheorien hätte dies nichts geändert.

          Über Systemgrenzen hinweg ist die Vakuum-Lichtgeschwindigkeit nicht konstant sondern variabel. Ihr Betrag kann über die Lorentz-Transformation konvertiert werden. Und so hat es auch Einstein gesehen. Da dies für die Raumwellentheorie wichtig ist, hierzu nochmals das folgende Zitat von Einstein (Quelle: http://books.google.de/books Albert Einstein – Über die spezielle und die allgemeine Relativitätstheorie – ISBN 3-540-42452-0 – Seite 50) „Zweitens aber zeigt diese Konsequenz, dass nach der allgemeinen Relativitätstheorie das schon oft erwähnte Gesetz von der Konstanz der Vakuumlichtgeschwindigkeit, das eine der beiden grundlegenden Annahmen der speziellen Relativitätstheorie bildet, keine unbegrenzte Gültigkeit beanspruchen kann. Eine Krümmung der Lichtstrahlen kann nämlich nur dann eintreten, wenn die Ausbreitungsgeschwindigkeit des Lichtes mit dem Orte variiert. Man könnte nun denken, dass durch diese Konsequenz die spezielle Relativitätstheorie, und mit ihr die Relativitätstheorie überhaupt, zu Fall gebracht würde. Dies trifft aber in Wahrheit nicht zu. Es lässt sich nur schließen, dass die spezielle Relativitätstheorie kein unbegrenztes Gültigkeitsgebiet beanspruchen kann; ihre Ergebnisse gelten nur insoweit, als man von den Einflüssen der Gravitationsfelder auf die Erscheinungen (z. B. des Lichtes) absehen kann.“ Zitat Ende

8.3.     Einstein hat in seiner Allgemeinen Relativitätstheorie nachgewiesen, das der Raum (Raum-Zeit) in der Nähe von Materie gedehnt wird. Dies ist gleichbedeutend mit einer Verringerung der Raumdichte. Die Ausbreitungsgeschwindigkeit des Lichtes ist abhängig von dieser Raumdichte. Je kleiner die Raumdichte, desto langsamer pflanzt sich das Licht fort. Weiterhin verlangsamen sich die Bewegungsabläufe in der Nähe großer Massen. Die Zeit vergeht beispielsweise auf einem Stern langsamer als auf der Erde.

8.4. Die Zeit wird nach menschlichen Maßstäben dadurch definiert, wie schnell das Licht eine bestimmte Strecke zurücklegt (Einsteinsche Lichtuhren). Anschließend wird diese, mit Hilfe des Lichtes ermittelte Lichtzeit, dazu verwendet, die Geschwindigkeit des Lichtes zu bestimmen. Man könnte auch die Zeit an Stelle einer Lichtuhr mit einer Schalluhr ermitteln und anschließend über diese Schallzeit die Schallgeschwindigkeit berechnen. Vorausgesetzt, die Schallzeit und die Schallgeschwindigkeit werden unter gleichen atmosphärischen Bedingungen gemessen, erhält man immer eine konstante Schallgeschwindigkeit. Wenn man eine beliebige Schallzeit nimmt und die Schallausbreitung unter anderen atmosphärischen Bedingungen beobachtet, ermittelt man unter Annahme einer konstanten Schallgeschwindigkeit eine Veränderung der Zeit. Das dies nicht stimmt, ist leicht zu erkennen. Die Ausbreitungsgeschwindigkeiten der Schallwellen sowie der Raumwellen bzw. Lichtwellen sind abhängig von der Dichte der Trägermedien.

8.5.     Die Ausbreitungsgeschwindigkeit von emittierten Lichtwellen ist unabhängig davon, wie schnell sich das aussendende Objekt bewegt. Die Schallwellen eines Flugzeugs bewegen sich beispielsweise unabhängig von der Geschwindigkeit des Flugobjektes durch die Luft. Die Lichtgeschwindigkeit ist wie die Schallgeschwindigkeit nur vom Trägermedium abhängig.

            Wie bereits erwähnt, bewegt sich im Rahmen dieser Raumwellentheorie nicht ein Körper durch den Raum, sondern es werden nur Druckunterschiede weitergeleitet. So wie der Schall nicht die Luft mitreißt und die Luftdichte nicht vor Eintreffen der Schallwelle verändert wird, so verändert sich auch nicht die Raumdichte um einen bewegten Körper. Eine Raumwelle reißt also nicht den umgebenden Raum mit. Es sind nur Druckunterschiede die durch den Raum laufen. Da der umgebende Raum also beim Durchlaufen einer Raumwelle nicht verändert wird, ändert sich auch die Lichtgeschwindigkeit nicht in dem angrenzenden Raumgefüge. Erst wenn die gravitative Wirkung einer Raumwelle bemerkbar wird, ändert sich auch die Lichtgeschwindigkeit. So kam bei den Experimenten von Michelson und Morley heraus, dass die Lichtgeschwindigkeit in alle Richtungen gleich ist. Unabhängig hiervon ist jedoch, dass sich die Lichtgeschwindigkeit mit zunehmender Nähe zur Erde verlangsamt. Nur weil dieser von Einstein vorhergesagter Effekt berücksichtigt wird, funktioniert unser GPS-System. Man misst also in alle Richtungen die gleiche Lichtgeschwindigkeit. Der Raum-Äther wird nicht vor der Erde (in Bewegungsrichtung gesehen) komprimiert und hinter ihr gedehnt. Es sind nur Druckwellen die sich durch den Raum bewegen. Im Falle der Erde sind es viele verschiedene Druckwellen. Dennoch sind es nur Druckunterschiede.

8.6.     Vorgenannte Überlegungen sind nicht ganz richtig. Wenn man mit einer Schallkanone eine Schallwelle aussendet, so verwirbelt sich die Luft an den Grenzflächen und die Schallwelle verliert an Energie. Es gleiten also nicht nur Druckunterschiede durch den Raum, sondern es kommt auch zur Verwirbelung der Luftteilchen. Wenn eine Raumwelle durch den Raum gleitet, so kann es auch hier zu Verwirbelungen in den Randbereichen bis hin zu Ablösungen von kleineren Raumwellen kommen. In Folge dessen verliert die Raumwelle Energie. Dies ist aber auch im Rahmen der Allgemeinen Relativitätstheorie möglich. Demnach verdrillen rotierende Körper die Raumzeit. Wie bereits erwähnt wurde dieser Effekt von Lense und Thirring bereits im Jahr 1918 erkannt und im Jahr 2003 durch Ciufolini und Pavlis wahrscheinlich experimentell bestätigt. (Die Bestätigung wird derzeit nicht von allen Wissenschaftlern anerkannt).

8.7.     Bei der Lichtgeschwindigkeitsmessung, z.B. im Glas, wird immer mit einer Uhr außerhalb des Systems (des Glases) gemessen. Misst man hingegen im System, d.h. innerhalb des Glases so erhält man auch im Glas die gleiche Lichtgeschwindigkeit wie im Vakuum. Folgendes Gedankenexperiment zur Erläuterung: Man baut eine Lichtuhr innerhalb eines Glaskörpers. Hierbei wird Licht innerhalb des Glases hin- und herreflektiert. Anschließend wird diese Lichtuhr an der externen Atomuhr geeicht. Nun wird mit Hilfe dieser Lichtuhr die Messstrecke in diesem Glaskörper über die Ausbreitungsgeschwindigkeit des Lichtes im Messobjekt ausgemessen. Also alles so wie bei der Messung der Vakuumlichtgeschwindigkeit. Nun braucht man nur noch die Lichtgeschwindigkeit im Glaskörper messen. Es ist exakt die gleiche Geschwindigkeit wie im Vakuum. Misst man mit einer externen Atomuhr, so erhält man natürlich eine geringere Lichtgeschwindigkeit. Da sich diese jedoch nicht im System befindet, ist dies nicht zulässig und verfälscht das Ergebnis. Mit unseren Messmethoden müssen wir automatisch eine konstante Lichtgeschwindigkeit messen. Dabei zeigt ein einfacher Vergleich zwischen verschiedenen Glassorten bereits, dass die Lichtgeschwindigkeit systemabhängig ist. Die Vakuumlichtgeschwindigkeit ist auf der Erde geringer als am Rand des Sonnensystems. Dies beweist auch die Abbremsung der Raumsonden Pioneer 10 + 11 (siehe Abschnitt zur Pioneer-Anomalie).

 

 

9. Thesen zu den Eigenschaften von Raumwellen

 

9.1.     Die grundlegenden Eigenschaften von Raumwellen sollen zunächst an Hand von Photonen erläutert werden. Diese sind, wie alle anderen Materie- und Kraftteilchen auch, Raumwellen. Somit sind die Aussagen zu den Photonen auf die anderen Elementarteilchen übertragbar. Wenn nachfolgend von Licht gesprochen wird, ist hiermit das gesamte Spektrum der elektromagnetischen Strahlung gemeint. Seit Einstein wissen wir, dass das Licht durch einzelne Lichtteilchen, den Photonen, von einer Quelle ausgesandt werden. Nach der Raumwellentheorie ist auch ein Photon eine Raumwelle, welche sich spiralförmig durch das Raumgefüge bewegt. Es bewegt sich jedoch nicht der Raum an sich, sondern es werden, wie bei Schallwellen, nur Druckunterschiede im Raum weitergeleitet. Die Raumwelle der Photonen entsteht durch die Abspaltung eines Raumanteils von einer größeren Raumwelle (herkömmlich als Energieabgabe bezeichnet). Sie gleitet annähernd reibungslos durch den Raum und kann reflektiert werden oder sich in Materienähe wieder “materialisieren“. Hierbei wird der Raumanteil des Photons auf die Raumwelle eines anderen Elementarteilchens übergeben. Diese beinhaltet hierdurch mehr Raum. Mehr Raum bedeutet im Rahmen dieser Theorie mehr Energie.

9.2.     Photonen entstehen also dadurch, dass Materie von einem höheren in einen niederen Energiezustand übergeht. Da ja der Gesamtgehalt der Energie bzw. des Raums gleich bleiben muss, wird Materie in Form von ungebundenen Raumwellen, den Photonen, abgegeben. Da sich die Ausgangsteilchen (Raumwellen) spiralförmig bewegen, erhalten die neuen Raumwellen (Photonen) auch einen spiralförmigen Anfangsimpuls.

9.3.     Materie ist nach dieser Raumwellentheorie eine Verdichtung des Raumgefüges. Wenn sich etwas verdichtet, so muss es sich an anderer Stelle verdünnen. Somit ist diese Raumverdichtung immer von einem gedehnten Raumbereich umgeben. Die Laufgeschwindigkeit einer Raumwelle ist in einem gedehnten Raumbereich geringer, als in einem gestauchten Raumbereich. Eine Raumverdichtung bewegt sich demzufolge immer in Richtung des verdünnten Raumgefüges. (Das ist wie beim Schlittenfahren. Man lenkt einen Schlitten, in dem man eine Seite abbremst.) In der Achse der Spiralwelle ist der Raum gedehnter, als an deren Außenseiten (siehe nachfolgende Grafik). Auf dieser Seite befindet sich einfach mehr verdichteter Raum. Die Kraftlinien sind auf der Innenseite größer, als auf der Außenseite. Von daher wird sich die Raumwelle immer um die eigene Achse kreisend fortbewegen. Sie bewegt sich um ihr eigenes Zentrum kreisend durch den Raum. Sie behält ihre Spiralform, weil sich die Raumspirale selbst beeinflusst.

Bild: Raumdichteverhältnisse in einer Materiewelle (vereinfachte Darstellung)

9.4        Doch dieser Effekt begrenzt auch die Größe eine Raumwelle. Ist die Spiralform einer Raumwelle zu sehr gestreckt, so kann diese sich nicht mehr selbst beeinflussen. Die in der oben abgebildeten Grafik dargestellten Kraftlinien werden auf beiden Seiten gleich groß. Die Raumwelle verliert ihre Spiralform und schwingt nicht mehr senkrecht zur Ausbreitungsrichtung. Aus einer Transversalwelle ist eine Longitudinalwelle geworden. Auch kann der Durchmesser einer Spiralwelle nicht beliebig groß werden. Die Ausbreitungsgeschwindigkeit von Raumveränderungen ist endlich. Ist beispielsweise der Abstand der unteren Kurve zu weit von der oberen Kurve entfernt, so erreicht die durch die obere Kurve hervorgerufene Raumverdünnung nicht mehr schnell genug den Einflussbereich der unteren Kurve. Der obere Bereich kann damit den unteren Bereich nicht mehr beeinflussen. Somit kann der Spiraldurchmesser nicht beliebig groß werden, da auch hier der innere Zusammenhalt der Raumspirale verloren geht und die Spiralform nicht mehr aufrecht erhalten werden kann.

9.5.     Seit Einstein wissen wir, dass Gravitation nichts anderes als eine Dehnung des Raums bzw. der Raum-Zeit ist. Gravitation wird also durch einen Druckunterschied des Raums hervorgerufen. Wobei die Gravitation mit dem Quadrat der Entfernung abnimmt. Raumwellen bestehen wiederum aus verdichteten Raum. Alle Elementarteilchen bewegen sich in Richtung der größten Abnahme der Raumdichte. Je größer also das Gefälle der Raumdichte in Richtung Raumdehnung ist, um so größer ist das Gravitationspotential.

           Auf der nachfolgenden Grafik soll dies verdeutlicht werden. Durch eine Ausgangs-Raumwelle wird hierbei die Raumdichte gestört. Der Verlauf der schwarzen Kurve gibt den Verlauf der Raumdichteänderung in Abhängigkeit von der Entfernung zum Zentrum der Raumwendel wieder. Der Anstieg der Kurve entspricht dem Gravitationspotential. Je steiler sie nach unten abfällt, um so größer ist die Gravitationswirkung. Die Fläche zwischen der x-Achse und der schwarzen Kurve gibt den Rauminhalt an. Da die Menge des Raums konstant bleiben muss, ist die Fläche über und unter der x-Achse immer gleich. Auf der rechten Seite der Grafik wurde dargestellt, was passiert, wenn Raum aus dem verdichteten Raumbereich entweichen würde. Hierdurch verringert sich der in der Raumwelle enthaltene Rauminhalt, was auf der Innenseite der Raumwelle zu einem stärkeren Anstieg des Gravitationspotentials als auf der Außenseite führt. Dadurch wird der entweichende Raum wieder zurück in Richtung Raumverdichtung gezogen. Die Raumwelle bleibt stabil. Es kann kein Raum entweichen.

           Die Größenverhältnisse wurden in der Grafik nicht exakt wiedergegeben. Der Bereich mit der Raumverdichtung hat eine wesentlich geringere räumliche Ausdehnung als der gedehnte Raumbereich. Die Raumdichte im gedehnten Raumbereich fällt, laut Einstein, mit dem Quadrat der Entfernung ab.

            Wie uns die Erfahrungen bei den Teilchenbeschleunigern und aus der Natur lehren, ist es möglich, dass bei hohen Energien Raumwellen miteinander verschmelzen. Wobei die Rauminhalte beider Raumwellen in die neue Raumwelle eingebaut werden. Gleiches gilt auch für hohe Geschwindigkeiten, wenn beispielsweise Photonen auf Elektronen treffen. Hier spielt sicherlich der Auftreffwinkel und die Größenverhältnisse zwischen den Raumwellen eine entscheidende Rolle. Auch können sich Raumwellen aufspalten. 

9.6.     Ungestörte Raumwellen sind somit sehr stabile Wellen. Sie geben fast keine Energie ab, sprich, ihr Rauminhalt bleibt weitestgehend konstant. Dieser Zustand hält Milliarden von Jahren an. (Das auch Lichtteilchen und alle anderen Elementarteilchen nur eine endliche Lebenszeit besitzen, wird später noch erläutert. Von daher ist es nicht ganz richtig davon auszugehen, dass sie reibungsfrei durch den Raum gleiten.)

            Wird Energie in Form von Licht abgegeben, wird Raum von einem Elementarteilchen in Form von einer langgezogenen spiralförmig kreisenden Raumwelle (Photon) abgegeben. Trifft so ein Photon auf eine kompaktere Raumwelle, wie es z.B. ein Elektron ist, kann es zur Reflektion der Raumwelle bzw. zur Absorption der Welle kommen. Bei der Absorption werden die Raumteile des Photons in beispielsweise die Raumwelle des Elektrons eingebaut. Das neugestaltete Elektron beinhaltet somit mehr Raum und dehnt damit stärker den umgebenden Raum. Letzteres bewirkt eine erhöhte Gravitation. Das Elektron hat damit mehr Masse bzw. mehr Energie. Dieser Prozess begründet den Welle-Teilchen-Doppelcharakter von Materie. Es handelt sich bei allen Elementarteilchen um Raumwellen. Diese haben jedoch eine sehr hohe Frequenz bzw. sind so kompakt, dass wir sie als Teilchen wahrnehmen.

Vorhersage zur Geschwindigkeit von Gravitationswellen:

           Da es sich bei allen Elementarteilchen um spiralförmig um das Zentrum rotierende Raumwellen handelt, muss die Fortpflanzungsgeschwindigkeit der Wellenfront größer sein, als die Vorwärtsgeschwindigkeit der Raumwelle. Dies gilt natürlich auch für die Wellenfronten der Lichtteilchen, den Photonen. Da sich die Photonen immer mit Lichtgeschwindigkeit fortbewegen, muss sich die um das Zentrum kreisende Wellenfront mit Überlichtgeschwindigkeit ausbreiten. Daraus folgt, dass sich im Vakuum Raumwellen / Gravitationswellen mit Überlichtgeschwindigkeit fortpflanzen. Wenn dann irgendwann mal der Nachweis von Gravitationswellen mit einem irdischen Gravitationswellendetektor gelingen sollte, wird man beobachten, dass die bei einem kosmischen Großereignis ausgesandten Gravitationswellen deutlich vor den davon emittierten Photonen auf der Erde eintreffen werden. Mit einer entsprechenden Empfindlichkeit der Gravitationswellendetektoren könnte man also beispielsweise Prozesse in der Sonne beobachten, bevor die davon ausgesandten Lichtteilchen die Erde erreichen und wir die Vorgänge sehen können. Was für die Satellitenbetreiber sicherlich ein reizvoller Gedanke sein wird. Diese könnten die Satelliten abschalten, bevor ein Photonenschauer die teuren Geräte erreicht.

9.7.     Diese Vorhersage, dass Raumwellen / Gravitationswellen schneller sind, als die lokale Vakuumlichtgeschwindigkeit soll mit den nachfolgenden Berechnungen unterlegt werden. Zur besseren Unterscheidung wird die Wellenfront einer Raumspirale in diesem Abschnitt als Gravitationswelle bezeichnet. Eine Raumwelle ist hingegen ein sich spiralförmig bewegendes Elementarteilchen. Gravitationswellen bewegen sich mit lokaler Gravitationswellengeschwindigkeit fort. Diese ist abhängig von der Raumdichte und immer größer als die Lichtgeschwindigkeit.

           Die nachfolgenden Formeln zeigen die Abhängigkeit der Gravitationswellengeschwindigkeit vom Spiraldurchmesser eines Photons. Auf die Verhältnisse und Geschwindigkeitsberechnungen bei den anderen Elementarteilchen soll später noch eingegangen werden. Es soll vorerst nur der einfachste Fall, die Vakuumlichtgeschwindigkeit betrachtet werden. Dieser Wert ist bekannt und nicht von der Frequenz des Photons abhängig. Bzw. ist die Frequenzabhängigkeit der Lichtgeschwindigkeit derzeit nicht nachweisbar und wird in den nachfolgenden Betrachtungen vernachlässigt.

           Die Vakuumlichtgeschwindigkeit c und die Frequenz f eines Photons ist bekannt. Wenn sich beispielsweise Licht im Vakuum eine Sekunde lang fortbewegt hat, so hat es dabei exakt 299.792.458 m zurückgelegt. Ein rotes Photon hat eine Frequenz von ca. 400THz und ist damit in einer Sekunde 400.000.000.000.000 mal um sein eigenes Zentrum rotiert. Der Zusammenhang zwischen Spiraldurchmesser und Gravitationswellengeschwindigkeit ergibt sich wie folgt:

            Der von der Gravitationswelle zurückgelegte Weg entspricht der Länge der Wendel der Raumspirale. Diese Wendellänge berechnet man, in dem man gedanklich die Spirale abrollt. Wir legen also die auf eine Sekunde normierte Raumspirale in ein 2-dimensionales Koordinatensystem. Diese ist auf der x-Achse demzufolge 299.792.458 m lang. Nun rollen wir die Spirale entsprechend ihrer Frequenz in die y-Achse aus. Die Höhe auf der y-Achse ergibt sich aus der Anzahl der Windungen (Frequenz) multipliziert mit dem Umfang der Raumspirale. Als Ergebnis erhalten wir im Koordinatensystem eine schräg laufende Linie (siehe nachfolgende Grafik). Die Länge dieser Linie entspricht der Wendellänge. Da wir die x- und y-Werte (es sind immer die Delta-Werte gemeint) dieser Linie haben, können wir über den einfachen Pythagoras die Hypotenuse berechnen.

          Der von der Gravitationswelle zurückgelegte Weg s ergibt sich also aus

                    s² = x² + y² bzw. s = Wurzel ( x² + y² )

          wobei y = f´ π d ist. f´ ist hierbei die normierte Anzahl der Schwingungen pro Sekunde und dimensionslos.

          Durch Umformung erhält man den Weg, den die Gravitationswelle in einer Sekunde zurückgelegt hat.

                    s = Wurzel ( x² + (f π d )² )

          Nun können wir noch die Geschwindigkeit der Gravitationswelle vG ausrechnen, in dem die Zeit t mit eingerechnet wird. Den Koordinatenwert x ersetzen wir durch den in dieser Zeit zurückgelegt Weg der Raumwelle x = t c und die Anzahl der Schwingungen ersetzen wir durch die Frequenz f der Welle.

                    vG = s / t = Wurzel ( ( t c )² + ( t f π d )² ) / t

          Dies ist die Formel für die Geschwindigkeit einer Gravitationswelle (Wellenfront) im Vakuum. Sie ist immer größer als die Vakuumlichtgeschwindigkeit. Sollte dieser Wert bzw. der Spiraldurchmesser eines Photons irgendwann mal experimentell ermittelt werden, so kann man daraus den jeweils anderen Wert errechnen.

         Hierbei ist
t   Zeit
s    Länge der Wendel
c    lokale Vakuumlichtgeschwindigkeit
f     Frequenz
d    mittlerer Durchmesser der Raumspirale
v Gravitationswellengeschwindigkeit
π = 3,141

         Es wird ausdrücklich darauf hingewiesen, dass auch diese Gravitationswellengeschwindigkeit, analog zur Lichtgeschwindigkeit, nur lokal konstant ist. Ändert sich die Raumdichte (Raum-Zeit) so ändert sich auch die Gravitationswellengeschwindigkeit und die Vakuumlichtgeschwindigkeit. Durch Lorentz-Transformation kann man diese Geschwindigkeiten für gleichförmig und geradlinig bewegte Beobachter umrechnen. Je gedehnter das Raumgefüge ist, um so kleiner werden diese Geschwindigkeiten. Dies ist in Übereinstimmung mit den Relativitätstheorien.

9.8.    Da sich Photonen mit der höchsten uns bekannten Geschwindigkeit fortbewegen, besitzen diese den kleinsten Spiraldurchmesser aller Elementarteilchen. Es handelt sich um sehr langgestreckte Gebilde (siehe Bild im Punkt 6). Da ihre Vorwärtsgeschwindigkeit mit der Raumwellengeschwindigkeit fast identisch ist, sind sie nicht in der Lage, nennenswerte Interferenzmuster an ihren Längsseiten auszubilden. Photonen bilden daher, im Gegensatz zu den anderen Elementarteilchen, keine bzw. nur äußerst geringe Kraftfelder aus.

          Das aber auch Photonen ein Kraftfeld besitzen könnten, ist an Hand der externen Forschungsergebnisse zu den Phänomenen von Gamma Ray Bursts (GRB) ersichtlich. Demnach werden bei GRB´s gigantische Photonenmengen im Gammastrahlenbereich emittiert. Wissenschaftler gehen davon aus, dass diese als gebündelter Strahl bei uns auf der Erde auftreffen. Anders sind die Energiemengen derzeit nicht erklärbar. Diese Strahlungsausbrüche wurden auch schon in einer Entfernung von 10Mrd. Lichtjahren beobachtet, wobei die Energiedichte der bei uns eintreffenden Strahlung immer noch sehr hoch war. Dies bedeutet, dass der Photonenstrahl über diese Entfernung extrem gebündelt wurde und nicht auseinander lief. Gammastrahlen sind sehr energiereiche Photonen, die bei GRB´s zudem noch in ungeheuren Mengen ausgestrahlt werden. Dass das Strahlenpaket der Gamma Ray Bursts über 10 Mrd. Jahre nicht auseinander läuft könnte darauf hindeuten, dass es durch die begleitenden Feldlinien der Photonen gebündelt wird und Photonen eben doch Kraftfelder ausbilden.

          Wie die nachfolgende Pressemeldung zeigt, wurde bereits 1957 nachgewiesen, dass sich Photonen zu Paaren zusammen schließen. Die Überlegungen, dass auch Photonen Kraftfelder ausbilden müssten, sind also richtig. Zitat aus http://www.pro-physik.de/Phy/leadArticle.do?mid=2&laid=8807 vom 26.01.2007 "Amsterdam (NL)/Palaiseau (F) – Vor 50 Jahren beobachteten die Physiker Robert Hanbury Brown und Richard Twiss, wie Photonen von einem fernen Stern sich gerne zusammenlagern und bündelweise korreliert auf ihre Reise gehen. Dieser nach seinen Entdeckern benannte HBT-Effekt zeigte erstmals das Paarungsverhalten von Bosonen mit ganzzahligem Spin."

9.9.     Ende 2011 wurde beobachtet, dass sich Neutrinos eventuell mit Überlichtgeschwindigkeit fortbewegen. Anfang 2012 waren diese Beobachtungen jedoch noch nicht durch unabhängige Beobachtungen bestätigt. Da Neutrinos demzufolge eine noch gestrecktere Form als Photonen aufweisen, sollten diese noch geringere Interferenzmuster an ihren Längsseiten aufweisen. Dies würde gut erklären, weshalb Neutrinos nur äußerst selten mit normaler Materie reagieren. Und eine Überlichtgeschwindigkeit von Neutrinos wäre mit dem hier vorgestellten Lösungsansatz problemlos erklärbar.

9.10.     Wenn man voraussetzt, dass die Vakuumlichtgeschwindigkeit nicht frequenzabhängig ist, bewegen sich blaue und rote Photonen im Vakuum genauso schnell. Nun haben aber blaue Photonen ungefähr die doppelte Frequenz von ihren roten Artgenossen. Setzt man weiter voraus, dass die Geschwindigkeit ihrer Wellenfronten gleich ist, ergibt sich aus den vorgenannten Gleichungen folgende Beziehung.

          Wir stellen die Formel
vG = Wurzel ( ( t c )² + ( t f π d )² ) / t

         nach dem Durchmesser um und erhalten

         vG² = ( ( t c )² + ( t f π d )² ) / t²
vG² t² = ( t c )² + ( t f π d )²
vG² t² - ( t c )² = ( t f π d )²
Wurzel ( vG² t² - ( t c )² ) = t f π d
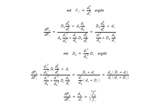
Wurzel ( vG² t² - ( t c )² ) / t f π = d

da der Term

          Wurzel ( vG² t² -( t c )² ) / t π

         für alle Wellenlängen im Vakuum konstant ist, ergibt sich

          fb / fr = dr / db

           Dies bedeutet: Das Verhältnis der Spiraldurchmesser von Photonen verhält sich umgekehrt proportional zu dem Verhältnis ihrer Frequenzen. Beispielsweise haben rote Photonen die halbe Frequenz von blauen Photonen und damit ist ihr Spiraldurchmesser doppelt so groß. Dies jedoch nur unter der Bedingung, dass die lokale Raumwellengeschwindigkeit innerhalb der beiden Photonen nicht auf Grund der durch die Masseänderung hervorgerufenen Raumdichteänderung variiert. Dies wäre bei langgestreckten, flachen Spiralwellen, wie die der Photonen, durchaus denkbar.

9.11.    Weiterhin ist zu beachten, dass wegen des Planckschen Wirkungsquantums die Energie eines Teilchens proportional zu seiner Frequenz ist. Da ein blaues Photon ungefähr die doppelte Frequenz eines roten Photons aufweist, besitzt es auch ungefähr die doppelte Energie. Eine Energieerhöhung bedeutet nach der hier vorliegenden Raumwellentheorie eine Erhöhung des in einer Raumwelle enthaltenen Raums. Eine Frequenzerhöhung bei Photonen bewirkt also nicht nur eine Verringerung des Spiraldurchmessers, sondern bewirkt auch eine Vergrößerung der gravitativen Wirkung der Raumwendel. Ihr Einflussgebiet wird größer. Landläufig gesprochen, wird die Wendel dicker.

9.12.    Mit zunehmender Frequenz eines Photons kommt man in einen Bereich, in dem die Bewegung des Photons durch die von ihm selbst hervorgerufene Veränderung der Raumdichte beeinflusst wird.

            Es kommt hierdurch zu einer Veränderung der Spiralstruktur. Die Vorwärtsgeschwindigkeit der Wellenfront wird durch die eigene Raumdehnung verlangsamt. Der Spiraldurchmesser vergrößert sich. Die Gesamtgeschwindigkeit der Raumwelle wird kleiner. Aus dem sich mit Vakuumlichtgeschwindigkeit fortbewegendem Photon wird ein Elementarteilchen mit Ruhemasse. Die direkte Proportionalität zwischen Frequenz und Spiraldurchmesser wird durch einen komplexeren Mechanismus ersetzt. Dieser kann derzeit noch nicht beschrieben werden.

9.13. Die vorgenannte These, dass die Form der Spiralwelle beim Übergang eines Photons zu einem anderen Elementarteilchen kompakter wird, muss sich auch aus dem nachfolgenden Sachverhalt ergeben. Trifft ein Elektron auf sein Antiteilchen, dem Positron, so „zerstrahlen“ beide Teilchen in „pure Energie“. Bei der als Annihilation bezeichneten Positron-Elektron-Umwandlung entstehen im einfachsten Fall 2 Photonen. Trift also „Antimaterie“ auf „normale Materie“ so zerfallen diese beiden Materiearten in 2 Photonen. Es sei angemerkt, dass es noch eine Vielzahl anderer Zerfälle gibt. Ihnen ist aber allen gleich, dass sie der Energieerhaltung folgen. Dies bedeutet, dass die Energie der beiden Ausgangsteilchen gleich der Energie der Endprodukte ist. Bei dem hier zu betrachtenden Fall soll also ein Elektron auf ein Positron treffen und beide Teilchen sollen sich vollständig in 2 Photonen umwandeln. Die Energie der Ausgangsteilchen muss erhalten bleiben. Demzufolge wandelt sich die Raumspirale des Elektrons in eine Photonen-Raumspirale der gleichen Energie um. Gleiches gilt für das Antiteilchen, das Positron.

          Nun hat Max Planck 1900 entdeckt, dass die Energie eines Teilchens über das nach ihm benannte Plancksche Wirkungsquantum h direkt mit der Frequenz f verknüpft ist. Es gilt E = h · f . Wenn das Elektron also die gleiche Energie wie das Photon aufweist, so müssen beide auch die gleiche Frequenz besitzen.

          Da Elektron und Positron keine Photonen sind, muss ihre Geschwindigkeit unterhalb der Lichtgeschwindigkeit liegen. Hingegen bewegen sich die Photonen immer mit Lichtgeschwindigkeit. Sie sind also schneller, als ihre Ausgangsteilchen. Elektron und Photon haben jedoch die gleiche Frequenz. Da die Geschwindigkeit des Elektrons unter der des Photons liegt, muss seine Wellenlänge, also der Abstand der Wendeln, geringer sein. Es vollzieht ja die gleiche Anzahl der Schwingungen pro Sekunde wie das Photon, legt hierbei jedoch nicht so eine große Strecke zurück.

          Vorausgesetzt die Vorwärtsgeschwindigkeit der Gravitationswellenfront wird nicht durch die eigene Schwerkraft zu stark behindert, sie also annähernd konstant bleibt, muss sich der Spiraldurchmesser des Elektrons erhöhen. Die Wegstrecke der Wellenfront ist ja beim Elektron und Photon gleich, jedoch hat sich der von der Raumwelle zurückgelegte vertikale Weg beim Elektron verkürzt. (Die Vorwärtsgeschwindigkeit des Teilchens hat sich beim Elektron verringert). Dies kann nur ausgeglichen werden, in dem die für die Rotation erforderliche Wegstrecke verlängert wird, sich also der Durchmesser erhöht. Daraus folgt, dass ein Elektron eine kompaktere Raumwelle als ein Photon ist. Es hat eine geringere Wellenlänge und einen größeren Spiraldurchmesser. So wie es auf der vorhergehenden Grafik dargestellt wurde.

9.14.     Photonen sind die Informationsträger des Lichtes und bewegen sich im Vakuum mit Lichtgeschwindigkeit. Wie verschiedene externe Experimente gezeigt haben, können sie nicht beschleunigt werden. Daraus wurde im Rahmen dieser Theorie abgeleitet, dass sich bei einer Energieerhöhung der Spiraldurchmesser der Photonen verringert und dadurch ihre Vorwärtsgeschwindigkeit konstant gehalten wird. Was geschieht nun bei der Beschleunigung anderer Elementarteilchen? Wie bereits angeführt, ist Energieübergabe nichts anderes als die Übergabe von komprimierten Raum von einer Spiralwelle auf eine andere Spiralwelle. Die emittierende Welle verliert Raum. Damit dehnt sie nicht mehr so stark den umgebenden Raum und ihre Gravitationswirkung wird geringer. Sie wird "leichter". Die absorbierende Welle nimmt Raum auf. Sie wird "schwerer". Durch die Aufnahme von Raum werden die inneren Bindungskräfte einer Raumwelle erhöht. Sie kann durch die Zunahme des Raums nicht mehr soweit schwingen. Analog zu den Photonen verringert sich der Durchmesser der Raumspirale. Durch die relative Nähe der Spiralwindungen untereinander bzw. auf Grund ihres größeren Windungsdurchmessers wird die Vorwärtsgeschwindigkeit der Gravitationswellenfront beeinflusst. Hierdurch wird die direkte Proportionalität zwischen Spiraldurchmesser und Frequenz gestört. Da die Gravitationswellengeschwindigkeit der Wellenfront konstant bleibt (konstante Raumdichte vorausgesetzt - sich die Gravitationswellengeschwindigkeit also nicht durch die eigene Schwerkraft reduziert), verringert sich der für die Kreisbewegung der Wellenfront erforderliche Geschwindigkeitsanteil und die Vorwärtsgeschwindigkeit des Elementarteilchens wird erhöht. 

         vv Vertikalgeschwindigkeit (analog zu X = Wegstrecke des Photons)
vr Rotationsgeschwindigkeit (analog zu Y = Anzahl der Windung x Umfang des Photons)
vG lokal konstante Gravitationswellengeschwindigkeit (analog zu S = Wendellänge)

vG2 = vv2 + vr2 bzw. vv2 = vG2 - vr2 

Reduziert sich also durch die Energieerhöhung der Umfang der Raumspirale, so wird aus der obigen Formel deutlich, dass sich hiermit die Vertikalgeschwindigkeit der Raumwelle erhöht. Sie wird durch die Energiezugabe in Achsrichtung beschleunigt.

Anmerkung:
Heisenberg hat in seiner Unschärfentheorie den Bezug zwischen der Geschwindigkeit eines Teilchens und seiner Aufenthaltswahrscheinlichkeit hergestellt. Bei gleichem Energieinhalt wird demnach mit sinkender Geschwindigkeit der Aufenthaltswahrscheinlichkeitsbereich eines Elementarteilchens größer. Bei Beibehaltung der Energie eines Teilchens vergrößert sich laut Raumwellentheorie mit sinkender Vorwärtsgeschwindigkeit der Spiraldurchmesser eines Elementarteilchens. Es kann also an Hand der oben genannten Zusammenhänge erklärt werden, weshalb sich der Aufenthaltswahrscheinlichkeitsbereich einer Raumwelle bei sinkender Geschwindigkeit vergrößert.

9.15. Die Lichtgeschwindigkeit in Materialien ist von der Frequenz des Lichtes abhängig. Bisher gibt es keinen eindeutigen Beweis dafür, dass dies auch im Vakuum so ist. Es gibt lediglich verschiedene Hinweise darauf. Jedoch scheint die Frequenzabhängigkeit der Vakuumlichtgeschwindigkeit wenn dann nur sehr gering ausgeprägt zu sein. Sollte sie dennoch vorhanden sein, könnte dies daran liegen, dass die Form der Photonen durch ihre eigene innere Raumdehnung beeinflusst wird. Es könnte also durchaus sein, dass auch bei so langgestreckten Raumspiralen wie den Photonen die Proportionalität zwischen Spiraldurchmesser und Frequenz leicht gestört ist.

          Durch die eigene Gravitationswirkung könnte sich die Vorwärtsgeschwindigkeit der Wellenfront verringern, wodurch sich energiereicheres Licht auch im Vakuum langsamer ausdehnt. Anderseits könnte es auch sein, dass durch die eigene Schwerkraft sich die Raumspirale mehr zusammen zieht und sich ihr Durchmesser verringert. Hierdurch erhöht sich die Vorwärtsgeschwindigkeit wieder. Da bisher keine Frequenzabhängigkeit der Vakuumlichtgeschwindigkeit gemessen wurde, ist es aber eher wahrscheinlich, dass sich beide Effekte bei den Photonen gegenseitig aufheben. 

9.16.     Bisher wurde die Bewegung von Photonen im Vakuum betrachtet. Die Lichtgeschwindigkeit in Materie unterscheidet sich hiervon erheblich. Diese ist auf jeden Fall frequenzabhängig. Weiterhin wird sie stark von den zu durchlaufenden Materialien beeinflusst. Blaues Licht ist hierbei immer langsamer als das rote.

          Die Lichtgeschwindigkeit im Vakuum und in Materie kann gut mit den Maxwellschen Feldgleichungen beschrieben werden. Wobei sich die Fachwelt freut, mit welcher Präzision die theoretischen Aussagen der Feldgleichungen mit den experimentellen Ergebnissen übereinstimmen. Was auf dem zweiten Blick aber nicht weiter überraschen sollte. Um mit den Maxwell-Gleichungen die Lichtgeschwindigkeit innerhalb eines Materials zu bestimmen, muss man experimentell die Permittivitätszahl (auch Dielektrizitätskonstante genannt) des Materials ermitteln. Anschließend setzt man diese in die Gleichungen ein und erhält die Lichtgeschwindigkeit in diesem Material. Man misst also erst, wie schnell sich das Licht in einem Material ausbreitet, ermittelt damit einen Anpassungsfaktor für das betreffende Material, setzt diesen Faktor in die Gleichung ein und freut sich anschließend, dass man mit der Gleichung genau vorhersagen kann, wie schnell sich das Licht in dem Material ausbreitet. Da kann man doch gleich im Experiment die Lichtgeschwindigkeit für jedes einzelne Material ermitteln und lässt die Gleichung einfach weg. Nun gut, mit Hilfe der Gleichungen kann man die Frequenzabhängigkeit der Lichtgeschwindigkeit in Materie berechnen.

          Aber ist dies wirklich ein Beweis dafür, dass sich das Licht so verhält, wie es von den Wissenschaftlern derzeit favorisiert wird? Demnach werden die Photonen an den Molekülen kurzzeitig absorbiert und anschließend wieder emittiert. Hierbei wird völlig außer acht gelassen, dass sich die Moleküle in der Zwischenzeit bewegen. Die Abstrahlrichtung der Photonen also nicht exakt der Aufnahmerichtung gegenüber liegen kann. Dies bedeutet, dass es innerhalb von Materie zu einer Streuung des Lichtes kommen muss. Jedes klare Brillenglas würde damit zur trüben Milchglasscheibe werden. Auch kommt hinzu, dass ein Photon des Sonnenlichtes nur durchschnittlich aller 47km mit einem Molekül der Atmosphäre zusammen stößt. Baut man nun eine 47m lange Messstrecke im Labor auf und misst die Lichtgeschwindigkeit jedes einzelnen Photons, so müssten 999 von tausend Photonen mit Vakuumlichtgeschwindigkeit durch diese Strecke hindurch rasen und nur eines würde mit einer verminderten Lichtgeschwindigkeit hinten ankommen. Denn nur eines von tausend kollidiert auf dieser Strecke mit einem Luftmolekül. Es kommen aber alle 1.000 Photonen mit einer verminderten Lichtgeschwindigkeit hinten an. Und diese ist auch noch abhängig von ihrer Frequenz. Die Photonen haben sich auf den 47m der Messstrecke nicht anders verhalten, als die Photonen in den Weiten des Weltraums. Sie durcheilten das Vakuum zwischen den Elementarteilchen der Luft und dies mit einer frequenzabhängigen Lichtgeschwindigkeit. Denn, was unterscheidet den leeren Raum zwischen den Elementarteilchen der Luft von dem leeren Raum zwischen den Sternen? Nichts, beide Räume sind leer und entsprechen der weiten Definition eines Vakuums.

9.17.     Wenn Photonen also nicht kurzfristig in den Elementarteilchen der Materie zwischengeparkt werden, muss es eine andere Erklärung für die Verringerung der Lichtgeschwindigkeit in Materie geben. Wie könnte diese aussehen? Wie oben aufgeführt, ist das Volumen innerhalb von Materie weitestgehend frei von Elementarteilchen. Atome bestehen zum überwiegenden Teil aus leeren Raum. Die Photonen bewegen sich durch diesen leeren Raum. Im Gegensatz zum echten Vakuum wird dieses Raumgefüge jedoch von den angrenzenden Elementarteilchen verzerrt. Somit werden die Photonen innerhalb der Materie von ihrer Bahn abgelenkt. Da Materie sehr viele Elementarteilchen enthalten, werden die Photonen auch sehr oft abgelenkt. In der Summe gleichen sich aber die Richtungsänderungen des Photons wieder aus. Auf Grund der statistischen Häufigkeit werden die Photonen in jede Richtung mit der gleichen Häufigkeit abgelenkt. Die Summe der Richtungsänderungen läuft hierbei gegen Null. Sie werden beispielsweise genauso oft nach links wie nach rechts abgelenkt. Hierdurch behalten Sie ihre Richtung bei und durcheilen die Materie statistisch gesehen in einem geraden Strahl.

           Durch jede Richtungsänderung verlängert sich jedoch der zurück gelegte Weg des Photons. Es muss ja immer einen kleinen Bogen durchlaufen. Somit ist der Weg länger, als wenn es auf einer Geraden die Materie durchwandern würde. Auf Grund dieser vielen Richtungsänderungen reduziert sich die Lichtgeschwindigkeit innerhalb von Materie. Je mehr Elementarteilchen die Materie enthält, bzw. je stärker die Quantenfluktuation ist, um so stärker sind die Richtungsänderungen der Photonen innerhalb der Materie ausgeprägt und um so geringer wird die Lichtgeschwindigkeit innerhalb des Materials. Daraus erschließt sich, weshalb die Lichtgeschwindigkeit in der Regel in schwereren Materialien geringer ist, als in weniger schweren Stoffen. Die Photonen werden dort einfach öfter bzw. stärker abgelenkt.

9.18.     Nun wäre noch zu klären, weshalb die Lichtgeschwindigkeit in Materie frequenzabhängig ist. Wobei mit steigender Frequenz die Lichtgeschwindigkeit in Materie sinkt. Wie bereits ausgeführt, verringert sich mit zunehmender Wellenlänge der Durchmesser der Photonen. Gleichzeitig erhöht sich aber auch die Energie und somit der in den Photonen enthaltene Rauminhalt. Dies hat zur Folge, dass Photonen mit einer höheren Frequenz stärker von den Elementarteilchen der Materie abgelenkt werden und sie damit einen längeren Weg innerhalb der Materie zurücklegen. Was wiederum ihre Geschwindigkeit herabsetzt. Das Photonen mit höherer Frequenz stärker von der benachbarten Materie abgelenkt werden liegt daran, dass die Raumdichtedifferenz an ihren Außenseiten größer ist, als bei niederfrequenteren Photonen. Mit Hilfe der nachfolgenden Grafik soll dies am Beispiel von roten und blauen Photonen verdeutlicht werden.

           Hierbei fällt die Raumdichte bzw. die Gravitationswirkung mit dem Quadrat der Entfernung ab. Ein rotes Photon hat ungefähr den doppelten Spiraldurchmesser und die halbe Energie eines blauen Photons. Somit ist der Flächeninhalt eines roten Photonen-Wendel-Querschnitts auch nur halb so groß. In Folge dessen ist die Summe der Raumdichtedifferenz bei einem blauen Photon größer, als bei einem roten. Es wird also von einem Gravitationspotential stärker abgelenkt. Der in Materie zurückzulegende Weg wird größer und die Lichtgeschwindigkeit sinkt mit wachsender Frequenz. Im Vakuum werden die Photonen nur selten abgelenkt. Somit ist die Vakuumlichtgeschwindigkeit nicht bzw. nur sehr gering von der Frequenz abhängig.

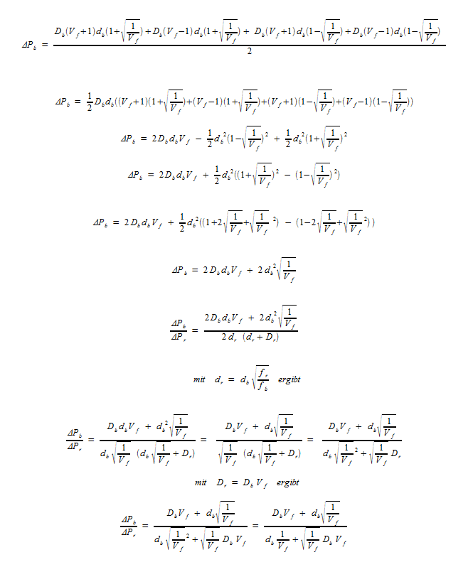
Für alle, die der einfachen Grafik nicht trauen, habe ich das ganze nachfolgend mathematisch hergeleitet. Das Ergebnis ändert sich jedoch nicht. Somit kann man sich das Nachrechnen getrost ersparen. Für alle Freunde der Mathematik also die nachfolgenden Berechnungen. Wobei ich vorher sagen möchte, dass man diese mit Sicherheit auch eleganter lösen kann. Die Ehrgeizigen unter den Lesern können dies gern ausprobieren und auf einen Zettel schreiben. Sie brauchen ihn mir aber nicht zusenden. Ich glaube es auch so.

           Auch diese Berechnung zeigt, dass der Druckunterschied an den Außenseiten der Photonen-Spirale mit zunehmender Frequenz größer wird. Somit werden höherfrequente Photonen stärker abgelenkt und ihre Vorwärtsgeschwindigkeit verringert sich.
Man kann es aber auch einfacher haben. Blaues Licht hat eine kleinere Wellenlänge und somit eine größere Frequenz als rotes Licht und wird demnach stärker abgelenkt. Dies kann man problemlos bei jedem Regenbogen bzw. Dispersionsprisma erkennen. Nachfolgend ein Bild eines entsprechenden Prismas Quelle: http://de.wikipedia.org/wiki/Prisma_(Optik)

9.19.     Die Häufigkeit und die Stärke der Ablenkung der Photonen innerhalb von Materie ist ein sehr komplexes Thema. Hier spielt der Atomaufbau, die Gitterstruktur, die stärke der Gitterschwingungen und des Quantenschaums / Quantenfluktuation unter anderem eine große Rolle. Die Frequenzabhängigkeit der Lichtgeschwindigkeit in Materie kann derzeit im Rahmen der Raumwellentheorie nicht berechnet werden. Eine Berechnung ist aber auch mit herkömmlichen Theorien nicht möglich. Die Lichtgeschwindigkeit in Materie kann nicht vorher berechnet, sondern nur an Hand von einzelnen Messpunkten für benachbarte Frequenzen abgeschätzt werden.

           Die Komplexität der verschiedenen Einflüsse laut herkömmlicher Theorien soll an Hand der nachfolgenden Grafik verdeutlicht werden.

         Bildbeschreibung: Beispielhafter Verlauf der komplexen relativen Permittivität über einen weiten Frequenzbereich. Aufgespalten in Realteil (rot) und Imaginärteil (blau) mit symbolischer Darstellung der verschiedenen Ursachen wie die Relaxation und bei höheren Frequenzen atomare und elektronische Resonanzen Quelle: http://de.wikipedia.org/wiki/Permittivit%C3%A4tszahl

9.20.    Es ist durchaus vorstellbar, dass auch bei Photonen die Proportionalität zwischen Spiraldurchmesser und Frequenz geringfügig gebrochen ist. Hieraus würden sich geringfügige frequenzabhängige Laufzeitunterschiede des Lichtes auch im Vakuum ergeben. Da diese Unterschiede bisher noch nicht entdeckt wurden, müsste es sich hier um sehr kleine Differenzen handeln. Demnach benötigt man zum Nachweis entweder sehr genaue Messgeräte oder eine sehr lange Messstrecke. Nachfolgend einige Überlegungen, wie dies experimentell Nachweisbar wäre.

       - Während den Apollo-Missionen wurde ein Spiegel auf der Mondoberfläche aufgestellt. Mit Hilfe eines Lasers und diesem Spiegel werden in regelmäßigen Abständen heute immer noch Entfernungsmessungen zwischen Erde und Mond durchgeführt. Würde man nun hierfür einen roten und einen blauen Laser verwenden, könnte es zu einem Laufzeitunterschied der beiden Signale kommen. Man würde für diese Distanz eine geringfügige Längendifferenz ermitteln welche sich nicht aus dem Laufzeitunterschied des Lichtes in der Atmosphäre zurückführen lässt.

       - Wird ein ferner Stern durch ein kosmisches Objekt verdunkelt, so sollte es auf Grund der möglichen Laufzeitunterschiede der Photonen zu einer Farbverschiebung beim Auftauchen des verdeckten Sterns kommen. Dies wird dadurch verursacht, dass entweder der obere oder untere Farbbereich beim erneuten Aufleuchten des Sterns fehlt. Diese Verschiebung ist umso größer, je länger das Licht zu uns unterwegs ist.

          Dies könnte am 16.07.2004 durch Beobachtungen bestätigt worden sein (siehe Pressemeldungen zu MACHO-LMC-5 beispielsweise http://www.astronews.com/news/artikel/2004/07/0407-012.shtml). Demnach traten bei der Gravitationslinse MACHO-LMC-5 Farbverschiebungen auf. Hierbei wurde ein Stern durch einen anderen Stern verdeckt. Das Licht des hinteren Sterns wurde durch die durch die Schwerkraft des vorderen MACHO-Sterns hervorgerufene Gravitationslinse verstärkt. Es handelt sich nicht um ein Doppelsternsystem, so dass Dopplereffekte als Ursache ausgeschlossen sind.

       - Aber auch die konventionelle Wissenschaft ist auf der Suche nach einer Frequenzabhängigkeit der Vakuumlichtgeschwindigkeit. Wie am 07. Oktober 2011 auf http://www.astronews.com/news/artikel/2011/10/1110-008.shtml gemeldet wurde, werden hierbei die Daten von Pulsaren ausgewertet. Dies sind schnell rotierende Sternenreste, welche an den Polen sogenannte Energiejets ins All aussenden. Da ihre Rotationsachsen etwas schwanken, streichen diese Energiejet wie das Licht eines Leuchtturms durch das All. Hierbei treffen sie in regelmäßigen Zeitabständen auf die Erde. Wenn auch die Vakuumlichtgeschwindigkeit frequenzabhängig sein sollte, so müssten hierbei die langsameren Frequenzen etwas später bei uns eintreffen. Und genau hiernach fahndet man.

       - Weitere Hinweise zur Frequenzabhängigkeit der Vakuumlichtgeschwindigkeit wurden bei 2 unterschiedlichen Experimenten im Jahre 2000 beobachtet. Dies wurde im Februar 2001 in einem Artikel auf http://www.astronews.com/news/artikel/2001/02/0102-017.shtml aufgeführt. Weshalb die Forschungsergebnisse seit dem in der Versenkung verschwunden sind, konnte nicht geklärt werden (Stand Februar 2012)

 

10. Thesen zum Atomaufbau

10.1.     Aus den vorgenannten Überlegungen geht hervor, dass sich Raumwellen mit gleicher Energie, sprich mit gleichem Rauminhalt, in einem identischen Raumgefüge mit gleicher Geschwindigkeit fortbewegen müssen. Nach dem momentan bevorzugten Atommodell bewegen sich die Elektronen eines Atoms auf verschiedenen Schalen / Orbitalen um den Atomkern. Da Elektronen einer gemeinsamen Atomschale die gleiche Energie besitzen und sich im gleichen Raumgefüge aufhalten, so muss ihre Vorwärtsgeschwindigkeit identisch sein. Wobei es denkbar ist, dass sie geringfügige Unterschiede in der Vorwärts- bzw. Rotationsgeschwindigkeit durch Synchronisationseffekte ausgleichen können.

10.2.     Hieraus ergeben sich neue Möglichkeiten für ein Atommodell. Die nachfolgenden Ausführungen betrachten den Fall, dass sich mehrere Elektronen auf einer Atomschale / Orbital aufhalten. Zitat Anfang „Anschaulich stellt man ein Orbital gewöhnlich durch die Oberfläche des kleinstmöglichen Volumens dar, in dessen Inneren sich das Elektron mit großer (z. B. 90%iger) Wahrscheinlichkeit aufhält.“ Zitat Ende. Die Orbitale haben verschiedene Formen (Quelle http://de.wikipedia.org/wiki/Orbital ). Bei den Orbitalen handelt es sich nach dieser Raumwellentheorie um die Interferenzlinien im Raumgefüge, welche die Elementarteilchen des Atomkerns ausbilden. Je nach Anordnung der Kernbestandteile bilden sich unterschiedliche Interferenzlinien bzw. -felder im umgebenden Raum aus. Die Elektronen bewegen sich innerhalb dieser Felder um den Atomkern, wobei sie den Bereichen mit der größten Raumdehnung folgen. Die Bahnen der Elektronen werden also von der Anordnung der Kernbestandteile beeinflusst. Im Gegenzug beeinflussen aber auch die Elektronen in der Atomhülle die Anordnung der Elementarteilchen im Atomkern. So ergeben sich aus der Forderung, dass der Umfang der Orbitale dem n-fachen der Wellenlänge der Elektronen ensprechen muss, nur bestimmte Orbitalformen. Die Atomhülle und der Atomkern stehen stehen in enger Wechselwirkung.

            Nachfolgend soll geklärt werden, weshalb sich die Elektronen eines Atoms in Orbitalen anordnen und weshalb sie in bestimmten Mengenkonfigurationen stabile Atome (chemisch unreaktive Edelgase) ausbilden. Hierbei soll zur Vereinfachung von kugelförmigen Orbitalen mit mehreren Elektronen ausgegangen werden. Wobei das Prinzip für alle anderen Formen gleich bleibt.

            Um dies zu erklären wäre es denkbar, dass sich die Elektronen nicht auf unterschiedlichen Bahnen innerhalb der Orbitale bewegen, sondern sich die einzelnen gleichgetakteten Raumwellen hintereinander ankoppeln und eine gemeinsame Bahn zurücklegen. Die Raumwellen der Elektronen bilden also einen langen Raumwellen-Ring. Dies entspricht auch der vorgenannten Erkenntnis, dass der Umfang eines Orbitals dem Vielfachen der Frequenz der Elektronen entspricht.

            Man kann sich das Ganze vorstellen wie eine Billardkugel mit umgelegtem Gummiring. Solange der Ring nicht exakt dem Durchmesser der Kugel entspricht, solange ist es leicht möglich, dass der Elektronenring abrutscht und die Elektronen von einem benachbarten Atom aufgenommen werden bzw. sich mehrere Atome die Elektronenringe teilen (chemische Bindung). Erst wenn der Ringumfang exakt dem Umfang der Kugel entspricht, liegt er stabil an der Interferenzhülle / dem Orbital des Atomkerns an. Jedes weitere Elektron würde den Elektronenring verlängern und dazu führen, dass der Ringumfang deutlich größer ist, als der Orbitalumfang. Da somit der Elektronenring „abrutschen“ würde, muss das zusätzliche Elektron auf dem nächst höheren Orbital eingebaut werden. Das Atom muss einen neuen Ring auf der nächst höheren Interferenzhülle ausbilden. Dies könnte der Grund dafür sein, dass die Atome chemisch erst dann stabil sind, wenn ihre Orbitale vollständig besetzt sind.

            Durch beispielsweise den Beschuss mit einem Photon kann man die Energie des Elektronenrings erhöhen. Hierbei wird die Energie des Photons in den Ring eingebaut. Da die Frequenz und somit Wellenlänge eines Teilchens direkt von seiner Energie abhängig ist, verändert sich die Wellenlänge des Elektronenrings. Wie de Broglie 1924 zeigte, entspricht der Umfang der Orbitale jedoch der n-fachen Wellenlänge. Somit muss ein Elektron mit der zusätzlichen Energie des Photons ausgelagert werden. Es wird auf eine höhere Bahn angehoben und verbleibt dort im sogenannten angeregten Zustand, bis es diese zusätzliche Energie wieder abgeben kann. Die verbleibenden Elektronen entsprechen dann wieder der Forderung, dass der Umfang der Orbitale der n-fachen Wellenlänge entspricht.

            Nun ist ein Elektronenring ständigen äußeren Einflüssen ausgesetzt. So kommt es durch die Quantenfluktuationen immer wieder zu geringen Energieeinträgen. Hierdurch wird der Ring partiell ausgebeult und es kommt zu einer Richtungsänderung. Durch diesen Vorgang rutscht der Ring scheinbar willkürlich innerhalb der Orbitale hin und her. Er ist also ständig in Bewegung und man kann an jeder beliebigen Stelle der Orbitale auf ein Elektron treffen.

            Dieses Atommodell stimmt mit den Vorstellungen der Quantenmechanik weitgehend überein. Der Unterschied ist jedoch, dass es sich bei den Elektronen u.ä. nicht um Materiewellen sondern um Raumwellen handelt. Weiterhin sind diese Wellen nicht 2-dimensional sondern 3-dimensionale Raumspiralen. Ergänzend hierzu heißt es auf Wikipedia:          

          Quelle: http://de.wikipedia.org/wiki/Wirkungsquantum vom Feb. 2012, Zitat Anfang:
„Den größten Schritt vor dem wirklichen Beginn der Quantenmechanik leistete Louis de Broglie 1924, indem er auch Teilchen wie Elektronen Welleneigenschaften zuschrieb. Er übertrug die für Photonen gefundene Beziehung p = h / λ zwischen Impuls p und Wellenlänge λ auf die von ihm gedachte Materiewelle des Elektrons. (A.d.R. h ist hierbei das Plancksche Wirkungsquantum) Damit dehnte er den Welle-Teilchen-Dualismus auf Teilchen aus. Als unmittelbarer Erfolg zeigt sich, dass die bohrsche Kreisbahn zur Hauptquantenzahl n gerade den Umfang n · λ hat, mithin die Materiewelle des Elektrons eine stehende Welle darauf ausbilden kann. Ohne über diese Materiewelle viel sagen zu können, fand Erwin Schrödinger Anfang 1926 eine Formel für die Ausbreitung dieser Welle in einem Kraftfeld, mit der er die Wellenmechanik begründete. Für die stationären Zustände des Wasserstoffatoms konnte er mit dieser Schrödingergleichung ohne zusätzliche Quantenbedingung genau die bekannten Ergebnisse berechnen. Zusätzlich wurden bekannte Fehler des Bohrschen Modells behoben.“
Zitat Ende

10.3.     Was für die Elektronen möglich ist, sollte auch für die Baryonen des Atomkerns denkbar sein. So könnten sich die Protonen und Neutronen jeweils zu Ringen vereinigen. Da sich diese Ringe frei im 3 dimensionalen Raum bewegen können, würde dies die Ausbildung der äußeren kugelförmigen Interferenzschalen in der umgebenden Raumstruktur, kurz der Atomschale, gut erklären. Wobei sich die äußeren Elektronenringe und die inneren Protonen- bzw. Neutronenringe gegenseitig in ihrer Lage im Raum beeinflussen.

10.4.     Wie weitergehende Überlegungen zur Supraleitung zeigten, müsste nahe des thermischen Nullpunkts die Quantenfluktuation verschwinden. Dies würde bedeuten, dass der Elektronenring nicht mehr ausgebeult wird und daher seine Richtung nicht mehr ändert. Die Elektronen kreisen also wie der Saturnring auf fester Bahn um den Atomkern. Durch übergreifende Interferenzbildung könnte es möglich sein, dass sich die Ringe der benachbarten Atome aneinander ausrichten. 
In diesem Zusammenhang sind die Erkenntnisse der Experimente mit Atomen im Aggregatzustand des Bose-Einstein-Kondensats recht aufschlussreich. Hierbei werden wenige Atome bis nahe dem absoluten Nullpunkt (ca. 20 Milliardstel über Null) abgekühlt. Man geht davon aus, dass dadurch alle Elementarteilchen auf ein einheitliches Energieniveau gebracht werden. Sie besitzen nach dieser Raumwellentheorie also alle die gleiche Wellenlänge und somit auch die gleiche Vorwärtsgeschwindigkeit. Die Effekte sind recht verblüffend. Zitat aus http://www.3sat.de/3sat.php?http://www.3sat.de/nano/news/24515/ : "In dem neuen Aggregatzustand verlieren die einzelnen Atome ihre Identität und bilden eine einzige quantenmechanische Teilchenwelle. Wie die Lichtteilchen in einem optischen Laser befinden sich alle Atome des Kondensats dabei auf der gleichen Wellenlänge und sind exakt im Gleichtakt." Sie verhalten sich also genau so, wie sie es nach der Raumwellentheorie tun sollten.

10.5.     Abschließend soll noch auf die Polarisation von Photonen eingegangen werden. Den Effekt der Polarisation des Lichtes nutzen nicht nur Fotografen, er wird auch in vielen Bereichen der modernen Technik eingesetzt. Polarisiertes Licht beinhaltet Photonen, welche in einer bestimmten Richtung schwingen. Die Polarisation kann hervorgerufen werden, wenn Licht durch eine Spaltblende läuft oder an einer Oberfläche flach reflektiert wird. Zum Beispiel wird das auf das Meer auftreffende Sonnenlicht polarisiert. Laut dieser Theorie sind Photonen jedoch spiralförmige Gebilde und dürften demnach keine Polarisation aufweisen. Anderseits sind Photonen sehr langgestreckte und somit nicht sonderlich stabile Raumwellen. Bei der Polarisation wird der ursprünglich kreisförmige Querschnitt der Wellen elliptisch verformt. Sortiert man diese anschließend mit Hilfe von Polarisationsfiltern, so ordnen sich diese nach den bekannten Wahrscheinlichkeitsverteilungen. Je nach dem, in welchem Winkel sie auf den Filter treffen. Bei einer elliptischen Spirale sind einige Einfallswinkel nun mal wahrscheinlicher als andere.

            Es könnte durchaus möglich sein, dass nicht nur Photonen polarisiert werden können, sondern auch andere einzelne Elementarteilchen. Da diese jedoch relativ kompakt sind, ist ein Nachweis schwierig.

 

11. Thesen zur Antimaterie

11.1.  Nach der Urknalltheorie lag zu Beginn des Urknalls ein Gleichgewicht zwischen Materie und Antimaterie vor. In dem Maße, wie sich Materie gebildet hatte, entstand auch die gleiche Menge Antimaterie. Dieses Gleichgewicht wurde nachfolgend zu Gunsten der Materie verschoben. Das dies, aus meiner Sicht, auf Grund der Verletzung der Energiebilanz nicht möglich ist, wurde bereits erwähnt.

110.2.  Auf Grund der anfänglichen Energiebilanz müssen sich demnach die beiden Materiearten bei Kontakt vollständig und restlos auflösen. Eine Reststrahlung bzw. anderweitige Energieabgabe ist nicht möglich. Sollte bei entsprechenden Experimenten etwas anderes festgestellt werden, handelt es sich nicht um Antimaterie sondern um eine andere Art von Materie.

11.3.  Weiterhin sprechen folgende Überlegungen dafür, dass es sich bei der “Antimaterie“ lediglich um eine andere Materieart handelt.

11.3.1 Beide Materiearten besitzen positive und negative x-,y- und z-Koordinaten.

11.3.2 Die Zeit verläuft bei beiden Arten immer in positive Richtung. D.h., auch die Antimenschen werden nicht erst sterben, um dann als Baby alt zu werden.

11.3.3  “Antimaterie“ besitzt keine Antigravitation. Sie stößt sich nicht gegenseitig ab, sondern besitzen wie alle Materieformen auch eine normale Gravitation. Eine Antigravitation (Abstoßung) würde eine Strukturbildung von “Antimaterie“ ausschließen.

11.3.4 Die Wirkung des von Antisternen ausgestrahlten Lichtes wäre auf jeden Fall leicht beobachtbar.

11.3.5 Sollte dennoch Antimaterie in unserem Universum vorhanden sein, sollte diese auf Grund der gravierenden Auswirkungen relativ leicht zu beobachten sein.

11.4.  Das Gegenteil von Materie ist laut diesen Erläuterungen die Gravitation. Mit der Entstehung von Materie (konzentrierter Raum) entsteht auch die Gravitation (verdünnter Raum). Beide bedingen sich gegenseitig. Es gibt keine Materie ohne Gravitation. Materie kann nur entstehen, in dem auch Gravitation entsteht. Löst sich Materie wieder in ungebundenen Raum auf, so geht auch dessen Gravitation verloren.

 

12. Das Wesen des Raums

            Bei der Urknalltheorie entsteht plötzlich aus dem Nichts Raum, Materie und Energie. Hierbei ist nicht geklärt, woraus den diese 3 Grundbestandteile unseres Universums bestehen. Das Gesetz der Energieerhaltung wird beim Urknall mit Füßen getreten. Es kommt aber noch schlimmer. Um die ganze Geschichte mit den Beobachtungsergebnissen der Astronomen in Übereinstimmung zu bringen, wurde eine weitere Energiegröße eingeführt, die Dunkle Energie. Diese soll die zu beobachtende scheinbar zunehmende Expansion des Universums erklären. Diese Energie quillt nun aus allen Ritzen des Universums und treibt die Galaxien auseinander. Es entsteht somit ständig Energie völlig aus dem Nichts, entgegen dem allseits anerkannten Energieerhaltungssatz. Ähnlich ist es bei der Stringtheorie. Aus was die Fäden (Strings) bestehen und zwischen was diese aufgespannt werden, ist völlig unklar. Beide Theorien können das Wesen der Materie, der Energie und des Raums nicht einmal ansatzweise erklären.

            Die hier vorgestellte Raumwellentheorie hingegen geht davon aus, dass Materie spiralförmig aufgewickelter Raum ist. Sämtliche Materieformen, und auch wir, sind demnach eine Daseinsform des allgegenwärtigen Raums. Wenn sich der Raum zu Raumwellen zusammenzieht, so muss der angrenzende Raum gedehnt werden. Nach Einstein entsteht Gravitation durch eine Dehnung (Krümmung) des Raums. Wie bereits erläutert ist Gravitation demnach das Gegenteil von Materie. Es gibt keine Materie ohne Gravitation. Energie wiederum wird von einer Raumwelle auf eine andere übertragen, in dem Raumanteile übergeben werden. Je mehr Energie eine Raumwelle besitzt, um so mehr Raum hat sie in ihren Spiralen gebunden. Mit der Raumwellentheorie kann also das Wesen von Materie und Energie geklärt werden. Die Energiebilanz wird eingehalten.

            Doch, woraus besteht Raum? Woher kommt er? Wie wurde er geschaffen? Was ist sein ausgleichender Gegenspieler? Diese Fragen konnten auch im Rahmen der Raumwellentheorie lange Zeit nicht beantwortet werden. Erst im Herbst 2007 wurde von mir der nachfolgende Erklärungsansatz gefunden.

            Wie in dem Abschnitt "Fragen zum Urknall" noch erläutert wird, ist ein Urknall im Rahmen der Raumwellentheorie zwar beschreibbar, jedoch als eher unwahrscheinlich einzustufen. Vielmehr kann von einem räumlich und zeitlich unendlichen Universum ausgegangen werden. Das Problem der Rotverschiebung des Lichtes ferner Galaxien kann hierbei genauso erklärt werden, wie der Helligkeitsverlauf von Supernovae des Typs Ia in Abhängigkeit von ihrer Entfernung. Dies aber nur am Rande. In einem Internetforum hatte hierzu jemand angemerkt, dass ein unendliches Universum einen unendlichen Informationsgehalt nach sich führen würde und dies mathematisch nicht möglich ist. Erst habe ich gedacht: Nun gut, wenn ein unendliches Universum eine unendliche Informationsmenge beinhaltet und die Mathematiker damit nicht zurechtkommen, dann ist es das Problem der Mathematiker. Das man einen Prozess noch nicht mathematisch beschreiben kann, ist kein Beweis dafür, dass es ihn nicht gibt. Dann hatte ich mir jedoch noch mal die Sache mit dem Raum und dem absoluten Nichts durch den Kopf gehen lassen. Theoretisch müsste ja das Raumgefüge mit all den Raumwellen irgendwann an das absolute Nichts angrenzen. Dies würde aber die Raumwellentheorie völlig zum Einsturz bringen. Es gäbe das gleiche Randproblem wie bei der Urknalltheorie und vor allen Dingen könnte der Gravitationskollaps nicht aufgehalten werden. Von daher bleibt nur übrig, dass der Raum grenzenlos ist. Nur, wie wir gesehen haben, hat der Raum durchaus stoffliche Eigenschaften. Man kann ihn verdichten/krümmen und in Schwingungen versetzen. Und wenn etwas stoffliche Eigenschaften hat, so muss es von irgendwo kommen bzw. bei der Entstehung einen Gegenspieler aufweisen. So wie der Gegenspieler der Materie die Gravitation ist, so muss es auch ein Gegenteil von Raum geben. Nur, woraus soll Raum bestehen? Eine schwierige Frage.

            Nun könnte ich es machen wie die Urknallbefürworter und ich setze irgendeine Konstante ein oder erfinde eine Dunkle Energie. So was kommt mir aber nicht in die Raumwellentheorie. Dann folgte die Überlegung, ob der Raum vielleicht doch nur der göttliche Atem ist, aus dem wir letztendlich alle bestehen. Es wäre dann wie immer: Wenn man nicht weiterweiß, ist es Gott oder die Dunkle Energie. Dieser Atem wäre aber endlich und man könnte den Gravitationskollaps damit auch nicht aufhalten. Raum muss also etwas unendliches sein, was anderseits auch wieder aus irgendwas entstanden sein muss.

            Dann habe ich mir noch mal die Aussage durch den Kopf gehen lassen, dass ein unendliches Universum eine unendliche Entropie zur Folge hätte und dies zu einem Symmetriebruch führen würde. Und genau dies könnte die Lösung sein. Vielleicht ist es ja diese Symmetrieverletzung, die uns das Begreifen des Wesens des Raums so schwer macht. Vielleicht müssen wir einfach eine Ebene höher denken. Vielleicht ist ja die Entropie der Gegenspieler des Raums. Raum entsteht, sobald sich die ersten chaotischen Vorgänge in ihm abspielen. Stellen wir uns also das absolute Nichts vor. Da keinerlei Bezugspunkte in ihm vorhanden sind, ist es völlig unmöglich, diesem Nichts eine Länge, Breite, Höhe zu geben. Es ist einfach nichts vorhanden, an dem man diese Verhältnisgrößen messen könnte. Es gibt somit keinen Raum. Sobald jedoch eine erste kleine Fluktuation in diesem absoluten Nichts auftritt, gibt es einen Bezugspunkt. Damit können sofort die 3 bekannten Raumkoordinaten in Relation gesetzt werden. Man kann Längen in Verhältnis zueinander setzen und sogar die Zeit beginnt zu ticken. Mit der Geburt der ersten kleinen Fluktuation im sonst absoluten Nichts entsteht praktisch auch der Raum und die Zeit. Und egal wie weit man (virtuell) von diesem ersten kleinen Punkt entfernt ist, man kann diese Entfernung gleichfalls in Relation zu dieser ersten Fluktuation setzen. Der Raum ist mit seiner Geburt sofort unendlich. Jedoch wird er erst durch die zunehmende Veränderung seiner Struktur auch erfahrbar. Je weiter sich das Chaos von diesem ersten Punkt ausweitet, um so größer wird der messbare Raum.

            Das Gegenteil des Raums ist also das Chaos. Beides sind mathematische Begriffe, die stofflich nicht zu fassen sind. Und dennoch können wir sie jeden Tag erfahren und sogar messen. Sie sind nicht materiell und trotzdem allgegenwärtig. Sie haben so gesehen viel gemeinsam. Sie befinden sich beide auf einer höheren Ebene des Seins. Es gibt kein Chaos ohne Raum und kein Raum ohne Chaos. Beide bedingen sich gegenseitig. Und aus diesem Raum besteht sämtliche Materie und Energie des Universums. Es bedarf also nur einer winzig kleinen Fluktuation im absoluten Nichts und das Leben beginnt. Dies ist wahrlich bizarr.

           Auch wenn es äußerst unwahrscheinlich ist, dass sich im absoluten Nichts die erste kleine Fluktuation ausgebildet hat, und damit der Raum, das Chaos und die Zeit geboren wurden, so muss diese Wahrscheinlichkeit größer als Null sein. In einer unendlichen Zeitspanne summiert sich diese Wahrscheinlichkeit in Richtung Zwangsläufigkeit. Beweis: Wäre es nicht so, könnte ich nicht diese Zeilen schreiben.

Die Bildung des Raums im unendlichen Nichts war somit zwangsläufig. Bereits mit der ersten kleinen Verwellung des unendlichen und gleichförmigen Nichts war das Chaos nicht mehr aufzuhalten und der Raum breitete sich von diesem ersten Kristallisationspunkt unaufhörlich weiter aus. Nur wo Materie ist, ist auch Raum. Wo keine Materie ist, kann man den Raum nicht messen und ihn gibt es damit nicht. Raum braucht immer einen Bezugspunkt, ansonsten kollabiert er.

           Ein Bezugspunkt im Raum bzw. das Chaos kann sich aber nur mit endlicher Geschwindigkeit ausbreiten. Auch wenn Sie teilweise in Ihrer Küche oder im Kinderzimmer einen anderen Eindruck haben. Demnach kann sich der messbare und erfahrbare Raum auch nur mit endlicher Geschwindigkeit ausbreiten. Diese Geschwindigkeit ist durch die Lichtgeschwindigkeit begrenzt.

           Damit fällt ein Grundpfeiler der Urknalltheorie. Um das Urknallmodell erhalten zu können, haben Wissenschaftler die sogenannte kosmologische Inflation eingeführt. Es gibt nämlich ein kleines Problem beim Urknall. Wenn dieser vor 13,8 Mrd. Jahren stattgefunden hat, wie können wir dann heute Sterne in einer Entfernung von über 13 Mrd. Lichtjahren sehen? Wir müssen uns ja in den letzten 13,8 Mrd. Jahren so weit von diesem Stern entfernt haben, damit das Licht über 13. Mrd. Jahre zu uns unterwegs sein konnte. Das geht nur, wenn wir uns mit deutlicher Überlichtgeschwindigkeit voneinander wegbewegt haben. Das ist nach den hier vorgestellten Überlegungen nicht möglich. Der Raum kann sich nur mit Lichtgeschwindigkeit ausbreiten und entwickeln. Aus meiner Sicht unabhängig von meiner Raumwellentheorie. Damit fällt das Urknallmodell.

            Weiterhin folgt daraus, dass sich demnach der Raum und somit unser Universum mit endlicher Geschwindigkeit ausbreitet und daher auch endlich groß sein muss. Das wird alle freuen, die sich die Unendlichkeit nicht vorstellen können. Auch das Einstein zugeschriebene Zitat wird damit geklärt: "Zwei Dinge sind unendlich, das Universum und die menschliche Dummheit. Aber beim Universum bin ich mir noch nicht ganz sicher." Nach meiner Theorie ist das Universum endlich. Einzig die menschliche Dummheit bleibt uns als Unendlichkeit erhalten. Für Letzteres braucht man keine Beweise. Da muss man sich nur manche gewählten Präsidenten unserer Zeit ansehen. Damit die gewählt werden konnten, musste schon unendliche Dummheit im Spiel gewesen sein.

           Ergänzend sei hier noch erwähnt, dass die Lichtgeschwindigkeit meiner Ansicht nach nicht die höchst mögliche Geschwindigkeit im Universum ist. Hierzu bin ich im Abschnitt „Thesen zu den Eigenschaften von Raumwellen“ bereits detailliert eingegangen und möchte hier nur noch mal ganz kurz das Thema streifen. Da nach dieser Theorie auch die Lichtteilchen, also die Photonen, spiralförmige Raumwellen sind, muss sich die Wellenfront dieser Raumspiralen schneller fortbewegen, als die Lichtwelle in Ihrer Achsrichtung. Die Wellenfront rotiert ja noch um die Wellenachse und muss damit in der gleichen Zeit einen weiteren Weg zurücklegen, als es die Gesamtwelle in Achsrichtung tut. Demnach ist die Geschwindigkeit dieser rotierenden Wellenfront höher, als die Ausbreitungsgeschwindigkeit des Photons bzw. des Lichts in ihrer Achsrichtung. Raumwellen bzw. Gravitationswellen bewegen sich also mit Überlichtgeschwindigkeit. Oder anders formuliert. Die Lichtgeschwindigkeit ist nicht die höchst mögliche Geschwindigkeit zur Informationsübertragung. Raumwellen durcheilen den Raum schneller. Wenn man den Durchmesser, die Frequenz und die Ausbreitungsgeschwindigkeit in Achsrichtung eines Teilchens kennen würde, könnte man daraus die Raumwellengeschwindigkeit errechnen. Doch leider gibt es zum Durchmesser eines Teilchens derzeit noch keine sicheren Forschungsergebnisse. Die anderen beiden Parameter kann man messen. Unabhängig davon ist die Ausbreitungsgeschwindigkeit der Raumwellen deutlich kleiner, als dass man damit die kosmologische Inflation bzw. den Urknall retten könnte.

           Es ist kein Grund ersichtlich, weshalb die Entstehung der ersten kleinen Fluktuation in der Unendlichkeit des absoluten Nichts und damit die Entstehung unseres Universums ein einmaliges Ereignis gewesen sein soll. Ich hatte ja geschrieben, dass ein sehr unwahrscheinliches Ereignis in einer unendlichen Zeitspanne trotzdem zwangsläufig auftreten muss. Wenn diese “Zeitspanne“ nun unendlich ist, so sollte dieses extrem unwahrscheinliche Ereignis auch unendlich mal auftreten. Demnach muss es unendlich viel Universen in diesem absoluten Nichts geben. Doch wir werden niemals mit ihnen in Verbindung treten. Zwischen den Universen ist absolut Nichts. Dazwischen gibt es keinen Raum und keine Zeit. Es gibt also auch kein “Dazwischen“. Diese Universen befinden sich dicht nebeneinander und gleichzeitig unendlich weit entfernt. Es gibt keine Verbindungen zwischen diesen Welten und es wird nie eine geben. Da helfen keine Wurmlöcher und es hilft keine Magie. Diese unendlich viele Welten sind für uns absolut unerreichbar und daher leider auch nicht nachweisbar. Schade.

 

13. Zeit

            Was ist das eigentlich, die "Zeit"? Wikipedia hilft da auch nicht weiter. Man erfährt nur, das an einer Erklärung seit jeher gerungen wird. Kann man Zeit anfassen? Ist es ein Ding oder doch eher etwas virtuelles. Ich tendiere zu Letzterem. Zeit ist nichts stoffliches oder energetisches, von daher kann sie aus meiner Sicht auch nicht geschaffen werden. Zeit ist Veränderung. Diese kann man nicht schaffen sondern nur durchführen. Somit ist Zeit an Materie gebunden. Es müssen jedoch mindestens 2 eindimensionale Materiepunkte vorhanden sein, um eine Veränderung zu bewirken. In einem völlig leeren Weltraum kann man nicht beobachten, ob sich ein einzelner Materiepunkt bewegt. Es ist immer ein Bezugspunkt notwendig. Mit der Entstehung von Materie entsteht also auch zwangsläufig die Zeit. Ob es ohne Materie Zeit gibt, ist dagegen belanglos. Wo sich nichts verändert, ist auch nichts, was die Zeit erforderlich machen würde. Mit der Entstehung der Zeit ist also auch kein Energie- oder Informationsaufwand verbunden. Somit kann der virtuelle Begriff der Zeit unabhängig von der Energieerhaltung entstehen.

            Die Zeit beginnt also mit der ersten Veränderung im ansonsten leeren Weltraum. Eine Veränderung kann demnach aber auch eine Dichteschwankung des Raums sein. Man hat dann im ansonsten völlig flachen Raumgefüge eine Verdichtung und die gegenteilige Verdünnung des Raums. Somit entsteht eine Vergleichsmöglichkeit von 2 Zuständen und die Zeit beginnt. Im Rahmen der Raumwellentheorie muss also nicht einmal Materie entstehen, um die Zeit beginnen zu lassen. Eine Dichteschwankung im sonst gleichmäßigen Raum genügt, und die Zeit beginnt.

            Die Frage, wie viel Zeit verging, bis sich die erste Raum-Fluktuation im absoluten Nichts gebildet hat, kann daher auch nicht beantwortet werden. Ohne Raum gibt es keine Zeit. Es kann also gleichzeitig unendlich lange gedauert haben, oder auch sofort passiert sein, dass sich der Raum gebildet hat. Ohne Raum-Fluktuationen gibt es keine Zeitmessung.

 

14. Energie

14.1    Was ist nun Energie? Laut Wikipedia ist Energie die Fähigkeit, mechanische Arbeit zu verrichten. Laut Einstein ist Energie äquivalent zur Masse. Masse kann in Energie umgewandelt werden und andersrum kann Energie zu Masse werden. Die Umrechnung erfolgt über die bekannteste Formel von Einstein E=m*c². In der Technik wird dies genutzt, in dem beispielsweise bei der Kernspaltung eine Teilmasse des Urans in elektrische Energie umgewandelt wird. Laut der hier vorliegenden Raumwellentheorie ist eine Energieabgabe nichts anderes, als eine Übergabe von Raumanteilen von einer spiralförmigen Raumwelle, sprich Elementarteilchen, auf eine andere Raumwelle. An Hand von 3 Beispielen von Energieformen soll dies nachfolgend konkret erläutert werden.

14.2    Bei einer Erhöhung der kinetischen Energie (Bewegungsenergie) werden Massen positiv beschleunigt. Zur Erläuterung nehmen wir uns ein einziges Elementarteilchen, also eine einzelne spiralförmige Raumwelle, heraus. Will man diese beschleunigen, so wird also von der Spiralwelle des anstoßenden Körpers Raum auf die zu beschleunigende Raumwelle übertragen. Hierdurch bekommt das angestoßene Teilchen einen größeren Rauminhalt. In Folge dessen zieht es sich weiter zusammen und verringert dadurch seine Spiralweite. Wie im Abschnitt „Thesen zur Lichtausbreitung und zum Atomaufbau“ erläutert, ist die Vorwärtsgeschwindigkeit einer Raumwelle von seinem Spiraldurchmesser abhängig. Verringert sich dieser, so erhöht sich die Vorwärtsgeschwindigkeit der Raumspirale. Durch die Aufnahme der Raumanteile vom anstoßenden Teilchen, wird also der Spiraldurchmesser des angestoßenen Teilchens verringert und es bewegt sich hierdurch schneller durch den Raum. Es hat also eine größere kinetische Energie als vorher. Dadurch, dass es jetzt mehr Raumanteile beinhaltet, dehnt es das angrenzende Raumgefüge mehr. Es verursacht also mehr Gravitation, d.h. es besitzt mehr Masse. Durch die Erhöhung der kinetischen Energie des Teilchens hat es also auch mehr Masse erhalten, was dem vorgenannten einsteinschen Äquivalenzprinzip entspricht.

14.3    Wie sieht es nun bei der thermischen Energie aus? Bei einer thermischen Energieerhöhung wird die Bewegungsenergie der einzelnen Elementarteilchen eines Materials erhöht. Die Atome im Atomgitter eines Materials schwingen stärker, sie sind wärmer. Dies bedeutet jedoch nichts anderes, als dass die Bewegungsenergie der einzelnen Teilchen erhöht wurde. Wird ein Körper durch einen anderen Körper erwärmt, so gibt der wärmere Körper die Bewegungsenergie seiner Elementarteilchen an den kälteren Körper ab, bis die Temperaturdifferenz ausgeglichen ist. Die Elementarteilchen des wärmeren Körpers stoßen die des kälteren an und übertragen dadurch ihre Bewegungsenergie gemäß dem vorhergehenden Absatz auf die Elementarteilchen des kälteren Körpers. Hierdurch erwärmt sich dieser.

14.4    Hebt man einen Stein vom Fußboden auf, erhöht man dadurch die potentielle Energie des Steins. Man bewegt ihn im Gravitationsfeld der Erde. Was passiert hier nun konkret? Wie bereits von Einstein erkannt, nimmt die Krümmung der Raumzeit mit wachsendem Abstand zu einem Körper ab. Mit zunehmenden Abstand von einer Masse wird der Raum also weniger stark gedehnt. Hebt man nun einen Stein auf, so bewegt man die Raumwellen des Steins in ein weniger gedehntes Raumgefüge. Hierdurch ist es den einzelnen Raumspiralen des Steins möglich, mehr Raum aus den ihnen umgebenden, und nun weniger gespannten Raum, aufzunehmen. Mehr Raum bedeutet wieder mehr Energie und gleichzeitig mehr Masse. Die potentielle Energie des Steins hat sich also erhöht.

14.5    Wie verhält es sich nun bei der angesprochenen Kernspaltung des Urans. Hierbei zerfällt der schwere Urankern in 2 leichtere Atome. Die Summe der Massen der beiden leichteren Atome ist geringer, als die Masse des Urankerns. Die Folgeatome haben insgesamt eine größere Bindungsenergie als das Ausgangsatom (Bindungsenergie ist eine negative Energie). Die Differenz der Bindungsenergie wird als thermische Energie abgegeben. Hierbei wird die Bindungsenergie teilweise als ungebundener Raum innerhalb des Atoms abgegeben. Dadurch wird dieser Raum entspannter. In Folge dessen können die übrigen Raumwellen des Atoms, analog zur potentielle Energie, mehr Raum aufnehmen. Somit wird der durch die Differenz aus der Bindungsenergie freigewordene Raum in die verbleibenden Elementarteilchen eingebaut. Diese beinhalten dadurch mehr Raumanteile und ihre Spiraldurchmesser verringern sich in Folge dessen. Dies bewirkt eine größere Vorwärtsbewegung der Teilchen und erhöht somit die thermische Energie des Atoms. Diese kann entweder über den direkten Kontakt mit einem anderen Atom abgeleitet werden oder wird in Form von Photonen abgestrahlt.

14.6    Wird die Energie in Form von Photonen abgestrahlt, so verringert sich der Rauminhalt des abstrahlenden Teilchens. Die Energie, d.h. der Raum, wird in Form von spiralförmigen Raumwellen, den Photonen, abgegeben. Die Spiralweite des abstrahlenden Teilchens verringert sich. Hierdurch wird seine Geschwindigkeit und auch sein Gravitationspotential, sprich seine Masse, kleiner.

14.7    Die Summe des Rauminhalts wird bei all den Vorgängen nicht verändert. Da die Summe des Raums eines Systems gleichzusetzen mit seiner Masse/Energie ist, kann die Summe der Masse/Energie eines Systems nicht geändert werden. Die Summe des Raums eines Systems ist immer konstant. Masse und Energie sind über den enthaltenen Raum miteinander verknüpft und können dadurch ineinander umgewandelt werden.

Bernd Jaguste

Berlin, 02. April 2018

hier geht es weiter

© Copyright 2000-2021 by Bernd Jaguste . Alle Rechte vorbehalten